инструмент АКСИС с дисконтом Б/У - Продам в Москве



инструмент АКСИС с дисконтом инструмент АКСИС с дисконтом инструмент АКСИС с дисконтом
Производитель
АКСИС (Россия)
Цена договорная
Москва (Россия)
Состояние: Б/У
Год изготовления: 2022
Контакты
stankoline
Виктор

Детальное описание

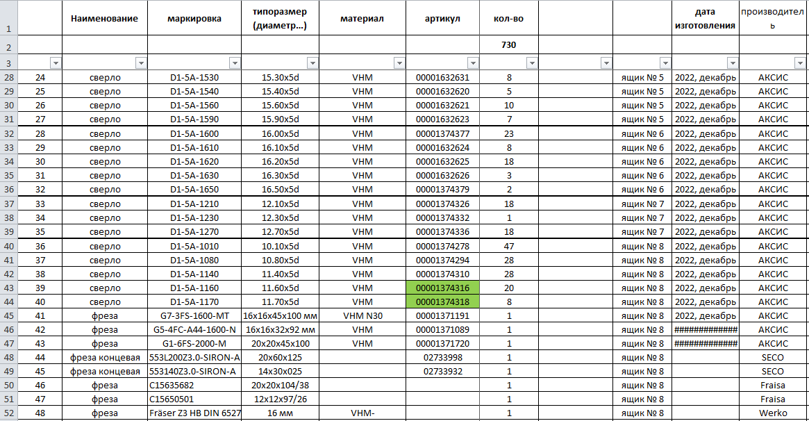
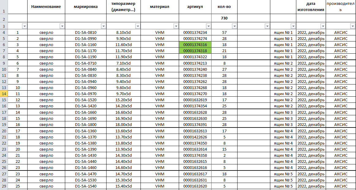
Высокопроизводительний режущий инструмент

премиум-класса с фантастическим дисконтом.

Создано 26.03.2026 Изменено 26.03.2026


Похожие объявления

инструмент АКСИС с дисконтом
Состояние: Б/У Год выпуска: 2022 Производитель: АКСИС (Россия)
Москва (Россия)
инструмент АКСИС с дисконтом
Состояние: Б/У Год выпуска: 2022 Производитель: АКСИС (Россия)
Москва (Россия)
Ножи для пресс-ножниц, сменный инструмент
Состояние: Новый Год выпуска: 2015
В наличии
Владивосток (Россия)
650
Алмазный дереворежущий инструмент. Производитель: Dorigo Utensili srl (Италия). Широкий выбор. Под заказ
Состояние: Новый Год выпуска: 2016 Производитель: Dorigo Utensili srl (Италия)
В наличии
Treviso (Италия)
Пробойник. Инструмент для пробивки отверстий на пресс-ножницы НГ5223, НВ5221, Н5224
Состояние: Новый Год выпуска: 2016 Производитель: УЦТР (Россия)
В наличии
Екатеринбург (Россия)
1 500

Вы недавно смотрели