Вертикальный многоступенчатый насос Fancy CDM 42-6 - Продам в Перми
Россия, Пермский край, Пермь, ул. Максима Горького, д.34
Детальное описание
Насосы серии CDM/CDMF - вертикальные, многоступенчатые, центробежные, повысительные, оснащены двигателем YE3. Входной и выходной патрубки находятся на одной оси. Насосы могут изготавливаться из стали AISI 304, AISI 316 и чугуна.
Вертикальные многоступенчатые насосы FANCY из нержавеющей стали и чугуна серии CDMF/CDM предназначены для водоснабжения и повышения давления, систем полива, для моечных установок, станции водоподготовки, циркуляция холодной и горячей воды в системах отопления, охлаждения и кондиционирования, подпитка котлов, в пищевой и фармацевтической промышленности и др.
Производитель: Fancy
Серия: CDM
Тип насоса: для водоснабжения
Тип конструкции насоса: многоступенчатые
Погруженность: поверхностные
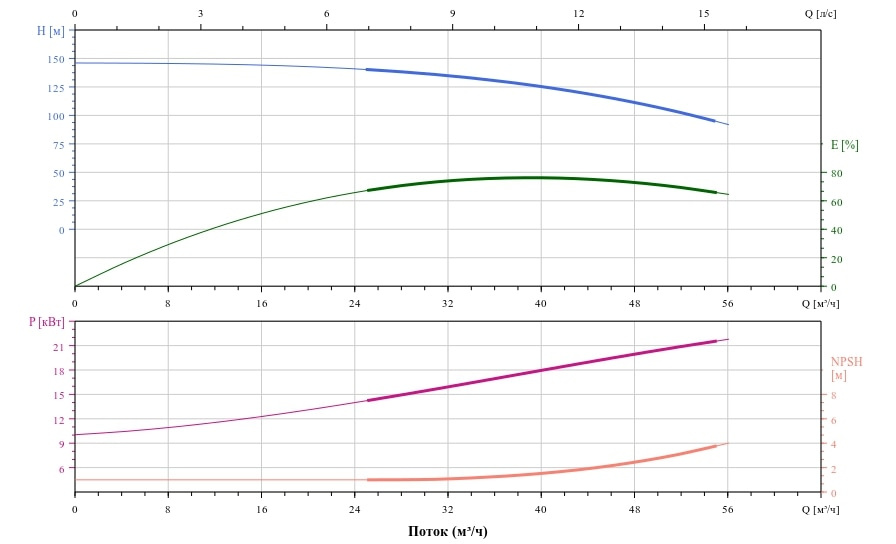
Подача, м3/ч: 42
Подача (диапазон), м3/ч: 0-10
Максимальное рабочее давление: 25 Бар
Диапазон температуры жидкости: от -10 °C до +120 °C.
Диапазон температуры окружающей среды: -10 °C до +50 °C.
Напор, м: 42
Напор (диапазон), м: до 305
Мощность, кВт: 22
Частота вращения, об/мин: 2900
Напряжения сети, В: 380
Перекачиваемая среда: жидкость
Вес, кг: 283
Создано 11.02.2024 Изменено 11.02.2024



